LouisianaVoice has obtained documents which reveal that a doctor at the Veterans Administration Medical Center in Alexandria, LA. was denied a license in Florida because she had previously falsified medical records while employed at a hospital in Maryland.
The records from Maryland were provided subsequent to our story on Wednesday that examined numerous complaints about Dr. Shivani Negi over her confrontations with hospital staff members and families of patients. https://louisianavoice.com/2016/06/29/cenla-media-ignore-elephant-in-the-room-alexandria-va-hospital-rife-with-controversy-swirling-around-one-doctor/
LouisianaVoice has also learned that the U.S. Attorney’s office, which normally would investigate and possibly prosecute cases of criminal wrongdoing, instead provided a legal defense for Dr. Negi in a civil lawsuit brought against her in federal court by the family of one patient who died in her care. That would make it all but impossible for that same U.S. Attorney to take part in any prosecution of the doctor should it be determined later that there might have been criminal neglect involved in the deaths of several patients at the hospital.
Dr. Negi has been the subject of repeated criticism for rude behavior and for the manner in which she is said to insist on the signing of “Do Not Resuscitate” orders by family members of other elderly patients.
She was denied a medical license by the Florida Board of Medicine in September 2003. LouisianaVoice reported on Wednesday that the board’s minutes reflected that the committee “discussed in length the seriousness of the issue” and that Dr. Negi “gave a brief history of events” but that the minutes failed to provide any details of the “event” or “issue.” 
(LEFT CLICK ON IMAGES TWICE TO ENLARGE)
Since then, additional documents have surfaced that show that Dr. Negi falsified medical records while working at Maryland General Hospital in Baltimore in December 2000 and then lied about her actions when confronted by an ad hoc committee formed to investigate the incident.
Saying that she exercised both bad judgment and unethical behavior when she “inappropriately altered the medical record,” she was ordered by the chairman of the hospital’s Department of Medicine to attend an education program for appropriate medical record keeping, medical ethics, and proper professional behavior. “Your participation in this program is mandatory,” said Dr. William C. Anthony in a May 1, 2001, letter to her. 
The issue arose when a nurse filed an incident report regarding the events of Dec. 6, 2000. The nurse said she photocopied the chart Administration Order Sheet “sometime after 2:30 a.m.” on that date in order to attach it to the patient’s Risk Occurrence Report that she was completing. 

Several days later, the nurse, Rhonda Calhoun, reviewed the order form and noticed a discrepancy in that orders for hourly blood cultures “had been added to the physician’s order form sometime after Dec. 6, 2000, 2:50 a.m.”
She said she was certain that the orders were entered after the original order “because the order does not appear on the photocopy she made for attachment to the Risk Occurrence Report.” Moreover, she told the ad hoc committee that she was present when Dr. Negi wrote orders at 10 p.m. and that she watched Dr. Negi write orders concerning the patient’s temperature “and observed her write ‘do not call me’ and then cross it out and change it to ‘let HO know.’”
It was not immediately clear what “HO” referred to, but Calhoun told the committee she was positive that Dr. Negi did not write the order for blood cultures at that time. She insisted that the order for blood cultures was not on the order sheet when she entered the orders into the computer at 2:50 a.m. on Dec. 6.
Dr. Negi was then called before the committee and proceeded to claim “emphatically” that she wrote it at 10 p.m. on Dec. 5, the ad hoc committee report says.
She was shown a copy of the final charter order that included her order for the blood cultures and then she was shown the photo copy of the chart order form that included “all orders through December 6, 2000, 2:30 a.m., but (which) does not include any orders for blood cultures. She continued to insist that she wrote the orders for blood cultures at the same time she wrote the orders to be called by the nurse in case of elevated patient temperatures. She said he had no explanation for why the photocopy did not contain her order for blood cultures.
She was then asked if she wished to make any other commits to the committee, but she declined and was excused.
In its report, the ad hoc commit said Dr. Negi’s explanation “is not plausible. The committee believes Dr. Negi inappropriately altered the medical records after the fact by adding her order for blood cultures to the charter order sheet sometime after” 2:30 a.m. Dec. 6, 2000, and by “trying to make it appear” as though it was written at 10 p.m. on Dec. 5.
“Furthermore, the committee is dismayed by Dr. Negi’s inability or unwillingness to admit to this inappropriate alteration of the medical records. The committee unanimously agreed that this inappropriate alteration of the medical record, and the physician’s implausible response to our questioning, reflect not only bad judgment, but also unethical behavior.”
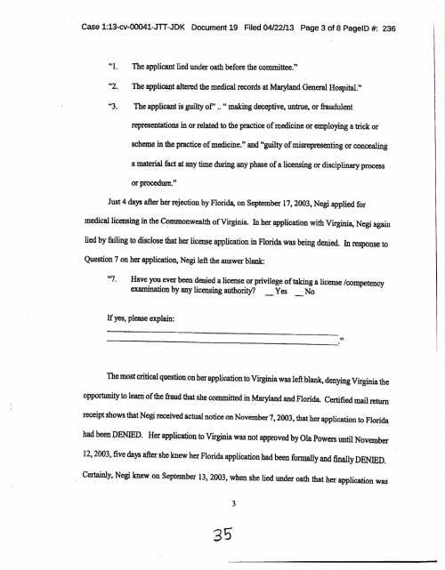
Among the grounds for denial of a medical license in Florida is “Making deceptive, untrue, or fraudulent representations in or related to the practice of medicine or employing a trick or scheme in the practice of medicine.” This apparently was the hook on which the State of Florida hung its denial of a medical license to Dr. Negi on September 13, 2003.
She then applied to and was granted a medical license by the Commonwealth of Virginia, one of only a handful of states which licenses graduates of foreign medical schools. That license was granted effective Nov. 13, 2003.
Dr. Negi is a graduate of Ross University School of Medicine in the Caribbean island nation of Dominica. Though Illinois-based DeVry University has since taken over the school, it still is not accredited by the Association of American Medical Colleges. http://www.bloomberg.com/news/articles/2013-09-10/devry-lures-medical-school-rejects-as-taxpayers-fund-debt
On her Florida application, Dr. Negi was asked “Have you had any application for professional license or any application to practice medicine denied by any state board or other governmental agency of any state, territory, or country.” She checked “No” to that question.
On her Virginia application, however, she failed to even respond yes or no to a similar question: “Have you ever been denied a license or privilege of taking a license/competency examination by any licensing authority?” Instead, she wrote, “I had applied for a Florida license but changed my mind and did withdraw my application.”
Her Florida application, however, was not withdrawn until June 8, 2006, more than two and one-half years after Virginia issued her a license in November 2003 and 33 months after her Florida application was denied.
So, Dr. Negi is on record as having lied about altering medical records while employed at Maryland General in December 2000 and again when applying for her medical licenses in Virginia after having been denied a license in Florida.
All of which raises a few obvious questions that come immediately to mind:
- Who vets doctors for vets at the VA?
- What can be done about Dr. Negi at this point in time?
- Given this latest information, along with what we’ve been hearing about the VA, would you allow your loved one to be treated at a VA hospital?







Greatest job of reporting the truth I have read in 40 years! Well done journalism.
Praying Louisiana does something about this doctor.
Sad, sad, sad.
I sent the following message to both of our U. S. Senators. I would encourage everybody to do the same:
Dear Sen. Bill Cassidy,
I am writing you because the V. A. is apparently doing nothing about this. Please read these recent articles from LouisianaVoice about a doctor at the VA Hospital in Alexandria who should have been fired long ago. This is appalling:
PLEASE look into this. The fact this kind of thing can be allowed in a VA hospital is thoroughly disgusting and that our veterans would be subjected to this is way beyond unacceptable.
Sincerely,
Stephen Winham
Follow-up: So far I got no response whatsoever from Vitter, a vanilla response from Cassidy promising nothing, and an off-subject response from Abraham. So much for representation. At least Vitter was simply honest enough to ignore me completel rather than have his computer generate a meaningless response.
Say, maybe we could come up with a clever motto like “No taxation without representation”, the original cry of the original tea party. Or maybe, based on recent events, we should just give up on government altogether, strap on guns, and go back to those happy Deadwood days when if anybody did anything we didn’t like we’d just “choot em'”. Seriously, Houston (and Baton Rouge, New Orleans, Atlanta, St. Paul….everytown) we’ve got a problem and nothing seems to be waking our do-nothing Congress up to that reality – not even The Donald who has made our whole country the laughing stock of the free world by venting the public’s frustration without even being elected POTUS. Hell, Jindal would have been a better choice than Trump and he is totally worthless as a leader.
SHE’S STILL THERE!!!!! She was my attending physician while I was admitted Monday, October 23rd – Tuesday, October 24th… she had the worst attitude and bed-side manner of any doctor I’ve ever met! The reason I found this article was when I called to try and find out why she hadn’t scheduled an appointment with a neurologist (which she said she would do during the checkout interview), they told me at first that they had never heard the name….!?!? While on hold I did a quick search for “Dr. Negi Pineville La” and found THIS! Not exactly confidence inspiring, eh????