First and foremost, there is nothing in the job description requirements that says the Secretary of the Louisiana Department of Health (LDH) must—or should—be a physician.
Nor does the state receive any benefit from the secretary’s maintaining a medical license or credentials and board certifications.
So, why should the head of the state’s largest department devote so much time, effort, and manpower on attempts to secure her professional credentials outside her state job?
Dr. Rebekah Gee was appointed Secretary of LDH by Gov. John Bel Edwards in January 2016 as he came to office. Prior to that, she was employed by the LSU HEALTH SCIENCES CENTER (LSUHSC) in New Orleans where she served as an obstetrician/gynecologist and as assistant professor of health policy and management.
So, it stands to reason that any attempt by LDH Secretary Dr. Rebekah Gee to pursue negotiations with LSU to retain her medical license, credentials, and board certifications through continued part-time employment as a physician at LSUHSC would be done on her own behalf and at her personal legal expenses.
Certainly, rank-and-file state employees must adhere to strict guidelines regarding the use of state computers, email addresses and telephone numbers—not to mention the taboo of calling on state attorneys to do private legal work on state time and state equipment.
Instead, following her appointment as secretary, she apparently directed the department’s legal counsel to pursue negotiations with LSU on her behalf on state time and using his state email address and signing off on his email correspondence with LSU as the executive counsel for the department.
Included in the email thread were negotiations on Dr. Gee’s behalf for her to retain her tenure at LSU (pretty difficult, considering her status was reduced to unpaid volunteer) and for LSU to pony up the premiums to keep her medical malpractice insurance from lapsing—a pretty generous financial windfall in its own right.
And all that doesn’t even address the apparent conflict of interest in her performing work for an agency overseen by—and which receives funding from—the department which she now heads.
As they say, rank does have its privileges and the series of emails back and forth between executive counsel Stephen Russo and LSU officials appears pretty rank.
Gee’s APPOINTMENT was announced on Jan. 5, 2016, and before she could even get settled into her office, the email campaign by Russo had begun in earnest.
At 3:12 p.m. on Jan 13, Russo emailed LSUHSC Chancellor Dr. Larry Hollier to ask “if there is anything you need from us regarding Dr. Gee. My understanding is that she will not be receiving compensation for providing services at the LSU clinic. If that is the case, that is a good starting point to make sure we are well clear of any issues…”
At 5:15 p.m. that same day, Hollier responded: “Dr. Gee will receive a ‘gratis appointment’ and will not receive compensation from LSUHSC. She would like to still see patients to maintain her medical licensure; we are happy to have her see patients. Would there be any ‘conflict of interest’ or other issues since, as Sect. of DHH (since renamed LDH), she ‘oversees’ Medicaid payments to LSUHSC?”
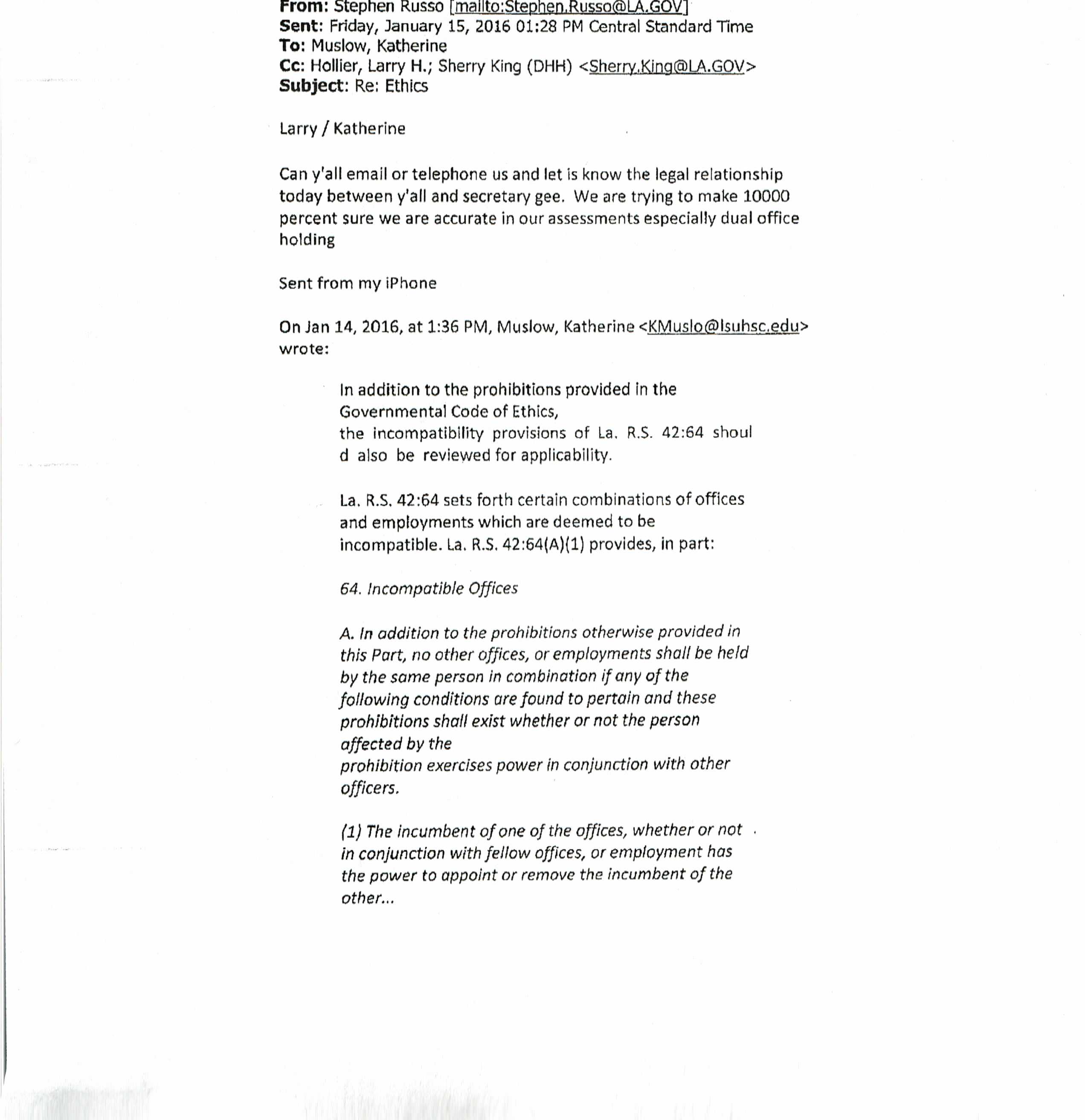
The following day, Jan. 14, LSUHSC General Counsel Katherine Muslow emailed Russo at 1:36 p.m. to say, “In addition to the prohibitions provided in the Governmental Code of Ethics, the incompatibility provisions of (state statutes) should also be reviewed for applicability.”
She then went on to list six “incompatibility provisions” which she seemed to feel would prohibit Dr. Gee from working even as a volunteer for an agency partially funded by the department that she headed.


On Jan. 15, Russo, still on the state clock at 1:28 p.m. and still on a state computer, wrote LSUHSC General Counsel Katherine Muslow and others from his state email account to ask that “y’all email or telephone us and let is (sic) know the legal relationship today between y’all and secretary gee (sic).”
At 1:40 p.m., Dr. Hollier emailed Russo to reiterate that Dr. Gee “is our gratis faculty with no compensation.”
Two minutes later, Russo, apparently having not fully digested the content of Muslow’s list of reasons why Dr. Gee could not work for LSU (and too excited to bother with punctuation), responded to Hollier: “Super so she is not contract or anything but like any other faculty just not compensated?”
He finally got around to responding to Muslow at 6:32 p.m. that day: “Good deal. I am sending to my ethics folks. I have not been talking with the attorney general and have not sought a formal ethics opinion.”

On Jan. 19, Russo was back at it early, emailing Hollier at 8:33 a.m. to discuss the termination of the contract between LDH and LSUHSC for the Medicaid Medical DIRECTOR position, the position Dr. Gee had held at LSUHSC. “Before we date and send the contract termination,” he wrote, “the Secretary (Dr. Gee) would like for me to confirm the following:
- Her current LSU title;
- Her tenure status;
- The dates when she can begin clinic.”
At 9:48 a.m., Hollier responded: “She is an Associate Professor, gratis appointment. She had tenure but loses that since she is not Full Time; but whenever she returns to FT (full time), I will simply restore her Tenure. She will arrange to see patients two half-days a month, starting I believe after the special session. I am waiting for final clearance from LSU System Counsel.”

The news about Gee’s loss of tenure must’ve thrown Dr. Gee and by extension, Russo, into a tizzy. On Jan 21 at 2:54 p.m., Russo emailed Hollier: “Can yall’s (sic) lawyers look at this tenure issue again? It is obviously a little worrisome that she would be ‘losing’ tenure. Personally, your word is good as gold to me but what if you have moved to greater adventures.”
“I am happy to have it reviewed again,” answered Hollier at 3:48 p.m., “but regs say tenure only for full time employees. I will see what other options might be available.”

So, bottom line, what we have here is the secretary of a state department:
- Working for an agency over which her department has jurisdiction;
- Attempting to retain tenure from her old job even though state regulations clearly say an employee must be full time to earn or keep tenure;
- Attempting to have the state pay for her medical malpractice insurance;
- Instructing a subordinate (legal counsel Stephen Russo) perform private legal work on state time and on state equipment on behalf of her efforts to retain private part time employment.
As the late C.B. Forgotston would say, you can’t make this stuff up.
Read Full Post »