Feeds:
Posts
Comments

Archive for October, 2015

Just when you think Bobby Jindal is AWOL, we learn that he’s still on the job.

Sort of.

Jindal recently went off on the father of Umpqua Community College shooter Chris Harper Mercer’s father for being an “absentee dad” in yet another of his futile attempts to bring attention to his faltering president campaign.

Never mind that as governor, he is something of a titular head of     a family of 4.6 million souls but has been an “absentee dad” for much of his term while he pursues his own selfish interests, leaving us to our own devices.

But hey, it’s good to know that he’s not too busy to see to the needs of his favorite contributors children.

Take his latest scam plan, for example. Last month Jindal announced that he wanted to rip surplus money from the $700 million in coastal restoration funds from the BP Deepwater Horizon spill settlement to use on the $350 million LA. 1 project.

While there is no prohibition against the use of coastal restoration funds on infrastructure, it is something that has never been done in the 10-year history of the Louisiana Coastal Authority prior to Jindal’s latest brainstorm.

Two gubernatorial candidates, Democrat John Bel Edwards and Republican Jay Dardenne are opposed to the idea while Republican Scott Angelle declined to state a position for or against while Republican U.S. Sen. David Vitter typically did not respond to an inquiry by the New Orleans Times-Picayune. http://www.nola.com/politics/index.ssf/2015/10/louisiana_gubernatorial_coasta.html#incart_river

LA. 1 runs from the Arkansas line in Caddo Parish to Grand Isle but more importantly, it runs right past a handful of businesses enterprises owned and operated by the mega-wealthy Chouest family of Lafourche Parish. Improvements to LA. 1 would necessarily enhance the bottom line of those businesses which are concentrated primarily in the shipbuilding industry. https://www.google.com/maps/embed?pb=!1m16!1m12!1m3!1d361617.85208354063!2d-90.43452757962136!3d29.350605373288044!2m3!1f0!2f0!3f0!3m2!1i1024!2i768!4f13.1!2m1!1sedison+chouest!5e0!3m2!1sen!2sus!4v1444571122922

Don’t buy into our skepticism? Well, consider this. Barely a year into his first term of office, Jindal announced that the state would invest $10 million into the Port of Terrebonne to accommodate LaShip, an Edison Chouest company. http://www.bestofneworleans.com/gambit/deep-pockets/Content?oid=1255831

At the time of Jindal’s announcement, the Chouest family and affiliated businesses had coughed up $85,000 to Jindal’s campaigns to that point. Since then, an additional $45,000 has found its way from the Chouest family and businesses into Jindal’s campaign coffers.

Last year, Jindal pulled $4.5 million from the developmentally disadvantaged and gave it to Laney Chouest for repairs to his $75 million Indy racetrack. The inaugural—and last Indy race was held last spring and was an unqualified bust that resulted in litigation filed by race sponsors.

So, weren’t the $10 million for the Port of Terrebonne and the $4.5 million for a one and done racetrack sufficient payback for $130,000 in contributions?

Well, perhaps, but consider this:

Boatbuilder Gary Chouest in July contributed a cool $1 million to Bobby’s Believe Again super PAC.

So while Jindal blithely allows the state’s fiscal condition to metastasize from neglect, abuse and absenteeism, it’s good to know that he’s looking out for the welfare of his favorite children.

It’s refreshing to know that while he parties in Iowa, protected by taxpayer-funded state police security, he has not forgotten those who have been good to him. The Chouest family should be so proud of their sugar daddy.

In real estate, the three most important words are location, location, location.

In politics, the three most important phrases are follow the money, follow the money, follow the money.

It’s also important to understand that no political contribution is ever given without an ulterior motive. People don’t throw money away for high ideals; they invest in a big payoff down the road.

Whether it’s a port improvement project, a racetrack or a $350 million improvement project for a major highway that runs by its myriad businesses, a million dollars isn’t tossed around lightly.

Read Full Post »

With all that’s going on with the Louisiana State Police, it has become easy to overlook the fact that we will be voting in a little more than two weeks for someone to try to undo the damage done by eight years of the Jindal carnage inflicted upon this state. (Don’t worry, we’ll get back to the State Police in a day or so.)

The governor’s race, unlike those of past years, has failed to generate a lot of interest among voters. That’s probably because the media has convinced us that U.S. Sen. David Vitter is a lock to be our next governor. I mean, who could possibly get excited over an election when we’re being told that it’s inevitable that the pariah of femininity will be our next governor?

Speaking of the media, the questions posed in the televised debates thus far have been nothing short of disgraceful. It’s no wonder that people are turned off by this year’s election. How, after all, does Kim Davis even begin to figure in the issues facing Louisiana’s next governor? That question was just plain stupid and a huge waste of time.

And who put the media in charge of anointing winners even before an election? Do our votes actually count anymore? (We will be addressing those questions shortly.)

First of all, what self-respecting Republican woman in Louisiana would ever cast a vote for someone like Dave Vitter? For that matter, what Republican woman would ever allow her husband to vote for this man who has only contempt for women as exhibited by the fact that:

  • He frequented prostitutes in Washington, D.C. and New Orleans;
  • He kept an aide, Brent Furer, on his payroll for more than a year after Furer held his ex-girlfriend hostage, threatened to kill her and in fact, attacked her with a knife. Vitter denied Furer was assigned to women’s issues. Furer’s title? Legislative Assistant on Women’s Issues.
  • He voted a year ago to block the Paycheck Fairness Act despite the fact that Louisiana ranks second-worst in the nation in gender pay disparity.

We say Republican women only because we feel it’s a foregone conclusion no Democrat woman would ever vote for this man who continues to refuse to address his personal and public issues with women.

But all that aside, let’s look at the real reason that Vitter is considered a favorite to make the runoff against Democrat John Bel Edwards.

Money. Lots of money.

And that brings us to the questions we posed earlier: Who anoints the winners and do our votes really count?

First of all, a super PAC is established for his benefit. Super PACs are the scourge of the democratic process, folks. End of discussion. And his Super PAC, ironically dubbed The Fund for Louisiana’s Future in what must have been someone’s idea of a cruel joke, had more than $3 million on hand at the end of 2014. And that doesn’t even count the money he has raised directly in corporate and special interest contributions.

The very existence of the Super PAC teetered on the edge of legality and was approved only after a court fight. Super PACs are barred from coordinating with candidates’ campaigns but if you believe Vitter has not involved himself in the decision-making process of The Fund for Louisiana’s Future, I’ve got some beautiful beachfront property near that Bayou Corne sinkhole in Assumption Parish for sale really cheap.

If you trust Vitter even for a nano-second, I’ve got a straitjacket in just your size.

His Super PAC aside, Vitter has another $4 million on hand as we head into the final stretch for the first primary on Oct. 24. As anyone not in a coma must surely know, The Fund for Louisiana’s Future has already initiated a media blitz attacking Vitter’s two Republican opponents, Lt. Gov. Jay Dardenne and Public Service Commissioner Scott Angelle on the assumption that he must eliminate them to get into the runoff. He apparently is holding off on attacking State Rep. John Bel Edwards until the second primary.

Compare that to $1.6 million for Darden who has yet to crank up his TV ad campaign, $1.4 million for Edwards, and $1 million for Angelle.

Far more telling, however, is an examination of who contributes and where those contributions are coming from.

For that, we pulled only the contributions of those giving the maximum allowable $5,000. To go deeper would have just taken far too much space.

Before we begin our look into the contributions, ask yourself this question: If you give $100 or even $250 to a candidate and he is elected and down the road your interests conflict with a donor who coughed up the $5,000 maximum, who do you think will get the politician’s ear? What chance would you have in such a scenario? We thought so.

This is not a hypothetical, folks. This is real. It’s not Monopoly money. It’s money poured into campaigns by special interests who have a reason for parting with their money—and the reason is not their hunger for good, honest government that motivates them.

Remember that if you remember nothing else when you walk into that voting booth on Oct. 24.

You are a moving part in a very large machine that is being lubricated with cash in order to turn out legislation that benefits any number of special interests, none of whom even knows who you are. When you exit the voting booth, that big money has no more use for your services—until the next election cycle.

Cold? Callused? Jaded? Yes, yes, and yes. But we at LouisianaVoice are pragmatists, not idealists. We as a society do not pledge allegiance to the flag; we pledge allegiance to the oil companies, the banks, Wall Street, and major contractors. Sorry if we burst anyone’s bubble, but facts are facts, unpleasant though they may well be. Here’s another little factoid: the Pledge of Allegiance was written by a socialist. Chew on that for a while, tea partiers.

Looking just at $5,000 contributions, we find that Vitter had 970 donors putting up the maximum, or $4.85 million. That’s a huge—very huge—chunk of his total contributions. Of that 970, there were 164 (17 percent) from out of state. That’s $820,000—more than the total of all the $5,000 contributions to Edwards and only $30,000 less than those of Dardenne.

Angelle barely had a third as many $5,000 contributors (340 for $1.7 million). Of those 340, no fewer than 81 (24 percent) were from out of state. Like Vitter, the $5,000 contributors made up a sizable block of his total campaign contributions. Where does that leave the $5, $10 and $20 contributors in the overall scheme of things?

From those figures, the numbers dropped precipitously for Dardenne and Edwards. Dardenne received 170 contributions of $5,000 each for a total of $850,000, about half of his total contributions, according to records obtained from the State Ethics Commission. Sixteen, or 9.4 percent, were from out of state.

Edwards recently issued a press release touting the low number of out-of-state contributors to his campaign. Records show that he received 114 contributions of $5,000 each for a total of $570,000. Only three of those, or 2.6 percent, were from out-of-state, in his case, all three from Texas.

This is an important election and Louisiana citizens need to get up off the couch, put down that bag of chips and forget about football for the few minutes that it takes to act on this state’s future.

No matter who wins, it is going to be difficult, if not impossible, to get this state back on the course of recovery after eight years of neglect, abuse, and outright corruption. The new governor is going to inherit a massive deficit, all manner of problems from higher education and public education, the state hospital privatization mess, a world-leading incarceration rate, corporate welfare (Stephen Waguespack’s protestations notwithstanding), and one of the highest poverty rates in the country, to name but a few.

So here is one last question to ask yourself before you enter that voting booth:

Do you vote for the candidate who had the most money to saturate the television airwaves with ads containing half-truths and outright lies, a candidate who is bought and paid for by Wall Street, the pharmaceutical firms, big oil, the major banks and similar special interests or do you vote for the candidate who you truly feel will devote his efforts to addressing the state’s problems head-on?

The state’s future dos not belong to The Fund for Louisiana’s Future. That vote-buying Super PAC is not even in Louisiana; it’s in Washington, D.C.

The state’s future instead belongs to you.

The choice is yours.

Read Full Post »

When State Police Capt. Barry Branton, a supervisor with a previously unblemished record, approved a Prescription Monitoring Program (PMP) on fellow Troop D Lt. Harlan Chris Guillory, it did not seem to matter that Guillory was indeed found to be abusing prescription drugs while on duty.

Instead, Guillory was subsequently promoted to captain and made Commander of Troop D while Branton was placed on administrative leave and demoted the rank of lieutenant. He appealed and eventually reached a settlement by agreeing to accept the demotion in exchange for having the suspension expunged from his record and his receiving full back pay.

But the bottom line was Branton was demoted for initiating a PMP out of concern for the professionalism of a fellow officer.

That stands in stark contrast to the decision not to punish a state trooper in Washington Parish after he and his brother, a DEA agent, were reported to have threatened a Metairie lawyer with bodily harm, imprisonment, and closure of his law practice—all over the issue of the attorney’s having parked his vehicle near their deer stand in December of 2012.

Michael Gahagan, a Metairie immigration attorney, on Tuesday provided LouisianaVoice with a three-page affidavit he filed with the Washington Parish Sheriff’s Office following a December 21, 2012, confrontation with State Police Captain Kevin Devall and his brother, Drug Enforcement Agent Page Devall.

Both men are the sons of Hammond Police Chief Roddy Devall who is said to be a strong supporter of State Police Superintendent Mike Edmonson.

Gahagan told LouisianaVoice that he was “assaulted, threatened, and abducted by the brothers after they blocked his truck which he said was parked on the roadside next to a hunting lease controlled by the Parish Line Hunting Club. Gahagan said he was a member of the club and was hunting from his deer stand around 4 p.m. on December 21 when he heard an all-terrain vehicle drive up to his truck and stop and then leave after a few minutes.

He said he climbed down from his deer stand about 5:15 intending to drive home only to find his truck blocked by Kevin Devall’s full-sized white pickup truck and a black trailer. When he asked the brothers, who were standing nearby, to move, they approached him cursing and grabbing the front of his shirt with their faces touching his.

He said he broke free and began walking backwards down the road that led away from his truck and into the woods in an effort to get away from them. He said as he walked backward, he extended his hands in front in an effort to keep them at arms’ length. All the while, he said the brothers were screaming threats at him. Page Devall yelled that he was a DEA agent and that “I kick in doors for a living” as he repeatedly “reached out and put his finger in my face and pushed my face,” Gahagan said.

Kevin Devall, he said, boasted that “I make the laws in Louisiana” and that he “would throw me in jail for the rest of my life and take away my law license if I didn’t do what he said.”

Fearing that he would be severely beaten or even killed, he considered drawing his handgun that he was carrying in his back waistband. He said he is a registered concealed carry permit holder and that if the two had not been police officers, “I would have defended myself and shot and killed them in order to prevent a beating and escape the attack and illegal detention.”

Because the two men were police officers, he said, “I chose not to draw and fire my handgun,” he said. “I did not use deadly force to defend myself because I was afraid what would happen to me after I was arrested by other police officers for shooting a police officer in self-defense.”

He said after about 45 minutes of repeated threats from the two, Kevin Devall ordered him into the Devalls’ ATV “so that he would drive me back into the woods and show me where he would allow me to park my vehicle.”

Before getting into the ATV, Gahagan was ordered by Paige Devall to disarm “or we will never let you leave,” he said. Gahagan said he removed his handgun and placed it into his truck and locked the truck. “Then Paige Devall gave me a full-body pat down (without probable cause or reasonable suspicion that I had committed any crime).”

Gahagan said he was then driven “several miles” into the woods and shown where he would be allowed to park.

He said he was finally allowed to leave the area around 8 p.m., nearly three hours after his ordeal began.

Following the confrontation, State Police Internal Affairs conducted an investigation of the allegations during which Gahagan was administered a polygraph test but neither of the Devalls were required to take a polygraph.

That was similar to the case of State Police Lieutenant John Cannon who was accused by a woman of twice paying her to have sex, once in the rear seat of his patrol car. The woman was given a polygraph but Cannon was not even though he did admit to twice having sex with her while on duty but denied paying for sex.

Two other significant events followed Gahagan’s encounter with the Devalls, he said.

First, Parish Line Hunting Club discontinued the Devalls’ membership at the hunting lease and after Gahagan filed a formal complaint against Paige Devall with his employer, DEA, Gahagan, his wife and his law practice were subjected to IRS audits. “I had never been audited by the IRS before in my life,” he said. “It seems awfully coincidental that I would be hit with three simultaneous audits at that particular time.”

LouisianaVoice has made a formal public records request to State Police for Kevin Devall’s personnel file and all Internal Affairs investigative reports on him.

Here is the sworn affidavit Gahagan filed with the Washington Parish Sheriff’s Office following his encounter with the Devalls (Warning: this document contains graphic language that may be offensive to some): AFFIDAVIT OF MICHAEL GAHAGAN

Nor was the 2012 incident the last time that Kevin Devall has had a complaint filed against him.

About 16 months later, on April 22, 2014, the estranged wife of St. Bernard Parish President Dave Peralta filed a formal complaint against Kevin Devall for the manner in which he investigated her report that her husband, a former police officer, had forced her to perform oral sex on him and then raped her the previous October. Here is her formal complaint: SHARON PERALTA COMPLAINT

Sharon Peralta said Devall, instead of arresting her husband, was laughing and joking with Dave Peralta on the front lawn and that her husband was never handcuffed but instead was allowed to walk around the front lawn freely. “I was told to leave and they would handle things from there,” she was quoted as saying by the New Orleans Times-Picayune. She said Dave Peralta subsequently intimidated her into dropping charges against him. http://www.nola.com/politics/index.ssf/2014/04/state_police_probe_sharon_pera.html#incart_email

It took exactly five days after Mrs. Peralta’s charges were made public for State Police Internal Affairs to clear Devall of any improper conduct in the manner in which he conducted his investigation. http://www.nola.com/crime/index.ssf/2014/04/state_police_clear_captain_of.html

But on April 23, a St. Bernard Parish grand jury indicted Dave Peralta on a charge of sexual battery, which could have carried a 10-year prison sentence.

Prosecutors dismissed that case on a technicality in April but in August of this year, Peralta was re-indicted by a St. Bernard Parish grand jury that accused him of using parish employees to help him stalk his ex-wife as well as other offenses. In September of 2014, he was indicted by a St. Tammany Parish grand jury on charges of felony stalking and in May of this year, he was indicted by an East Baton Rouge Parish grand jury on three counts of filing false reports and for perjury.

Read Full Post »

“After they had sex, Lt. Cannon realized his unit was stuck….”

State Police internal investigation report, detailing in what is assumed was an unintentional double entendre how state police lieutenant John Cannon’s patrol car got stuck during a back seat sexual encounter while on duty near St. Francisville on March 4, 2014.

Read Full Post »

 

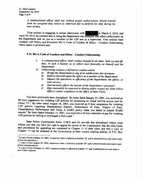
Louisiana Troop A State Police Lieutenant John Cannon remains on his $115,690 per year job despite having been reprimanded for numerous offenses including theft of satellite television signals, failure to file required Daily Activity Reports (DARs), unauthorized voiding of traffic tickets, failure to investigate a fleet crash, failure to deliver fatality packets to the families of traffic fatality victims, and twice having sex with a woman while on duty—with one of those times being in the rear seat of his patrol unit.

Legislators approved two double digit state police pay increases six months apart earlier this year even as more than 35,000 state civil service employees were learning that they again would not receive 4 percent pay increases. https://louisianavoice.com/2015/09/29/state-general-fund-has-yet-to-see-any-of-the-11-million-in-delinquent-fine-collections-to-pay-for-state-police-pay-raise/

http://theadvocate.com/news/13605105-128/no-pay-raises-for-most

Troop A includes the eight parishes of East and West Feliciana, Pointe Coupee, East and West Baton Rouge, Iberville, Livingston, Ascension and part of St. James. Cannon, a shift supervisor, has been a state trooper since 1990. He was promoted to sergeant in July of 2000 and to lieutenant in August of 2010.

LouisianaVoice obtained the 38-page state police internal affairs investigative file on Cannon through a public records request. That file indicates Cannon was never demoted for his actions. His most severe punishment included a 36-hour suspension without pay and a $904.96 per pay period reduction in pay for nine two-week pay periods (the equivalent of a 240-hour suspension)—from Oct. 27, 2014 through June 21, 2015, that was handed down by letter of Sept. 10, 2014 from Lt. Col. Charles Dupuy.

The internal affairs investigation of claims that Cannon had sex with a woman on two occasions while on duty was launched on May 15, 2014, after West Feliciana Parish sheriff’s deputies reported they had a woman in custody for possession of Lortab and marijuana. The woman, whose name was redacted throughout the report, told deputies that she twice had exchanged sex for money with Cannon.

She repeated her story to state police detectives but failed a polygraph test on the question of her being paid for sex, the report said. Cannon subsequently admitted to detectives that he had sexual intercourse with the woman but denied he paid her for sex although he did admit that he twice gave her money. He said the money was given immediately before or after each sexual encounter but that on the first occasion the money was to pay her cell phone and the second time was to pay her rent and that he was only trying to help her and to establish a friendship.

While the woman was twice subjected to polygraph tests and failed on the key point of payment for sex, the state police report never indicated that a similar test was administered to Cannon even though that was the only aspect of the entire affair that would have actually been criminal in nature.

The two first met on Feb. 16, 2014 in, New Roads in Pointe Coupee Parish where Cannon was working a seat belt grant. The woman told investigators that the two had multiple conversations by phone before meeting behind the parish library in New Roads on Feb. 21 “sometime between 9 and 11 p.m.,” but that they did not engage in sex on that occasion. She said they subsequently “negotiated sex on the phone.”

Cannon later called her at her father’s home in St. Francisville where she was living and told her he “needed her,” she said. The woman told authorities that she told Cannon she was out of money and that he later picked her up in his marked state police unit near her father’s residence and “immediately gave her $120, which she claimed was for sex,” according to the report. Cannon later said the amount was closer to $60 and was not for sex but for her cell phone bill. The report by internal affairs put the date as March 4, 2014.

She told investigators that their first sexual encounter took place in a wooded area south of St. Francisville just off U.S. 61 and lasted “approximately two minutes.” Afterward, she said, Cannon realized his patrol car was stuck and that she smoked a marijuana joint while he checked to see how badly the car was stuck. Apparently realizing how it might look if he were caught with her in such a secluded area, especially given the fact that he was dating an employee of the West Feliciana Parish Sheriff’s Office at the time, he ordered her to walk to the main highway and catch a ride while he called for someone to pull him out.

She did catch a ride to her father’s house while Cannon called the sheriff’s department for help in removing his vehicle.

Almost two months later, on April 29, Cannon picked her up—in his state police unit while on duty and in full uniform—from an apartment in Baker where she was living with her boyfriend. Cannon drove to a home she told authorities she believed to be in Baton Rouge but which Cannon later admitted was a friend’s home in Prairieville in Ascension Parish. They again had sexual intercourse in a bedroom of the home, that time for a duration of about three minutes, she said. She told investigators she requested $150 afterward but Cannon gave her only $100. He admitted that he stopped at a Regions Bank ATM on Highland Road in Baton Rouge in order to withdraw some cash. He said the amount he gave her was closer to $60 to $80 but when advised that she claimed it was $100, he told investigators it “was possible he could have given her that amount,” the report said.

The report reiterated Cannon’s claim that while he gave her money, it was to pay her phone bill and to pay her rent but was never given in exchange for sex

While en route from Baker to Prairieville, she activated Cannon’s patrol unit’s siren which resulted in other motorists moving out of the way and that she videoed the interior of his unit with her cell phone. She said she also took a photo of the house to show her boyfriend. She said Cannon was aware of her videoing the inside of his patrol car but that he did not know about her taking a picture of the house.

His 36-hour suspension ran from Oct. 10, 2014 through Oct. 13, 2014, and he was allowed to return to work from Oct. 15 through Oct. 26.

That 224-hour time frame actually covers 18 pay periods because, according to the specified dates of his suspension, he was suspended only on every other pay period, thus allowing him to work during alternate pay periods.

The suspension also contained no prohibition to Cannon’s being able to work overtime in order to make up for the $904.96 reduction in pay for each pay period for which he was suspended. LouisianaVoice has submitted a follow-up public records request for documents related to all overtime worked by him from Oct. 27, 2014, and June 21, 2015.

Cannon has had a checkered record in his 25 years as a state trooper.

  • On April 12, 1995, he received a letter of reprimand for his involvement in a traffic accident in his state police car, a not uncommon occurrence for state police.
  • On Jan. 25, 2001, he was suspended for 80 hours after being found in possession of an illegal satellite access card for Direct TV.
  • On June 6, 2003, he received an eight-hour suspension for failure to submit his Daily Activity Reports (DARs).
  • On April 27, 2006, he received a reduction in pay equivalent to a 24-hour suspension for failure to investigate a fleet crash.

And even after Dupuy’s letter of Sept. 10, 2014, which imposed the 240-hour suspension for his sexual misconduct while on duty, he received a reprimand but no suspension on March 18 of this year for his failure to act upon six traffic citation void slips and for failure to follow state police procedure with nine other citations.

Additionally, a review revealed that Cannon had seven fatality reports that are provided by state police as a courtesy to families of the deceased which he had not delivered. The fatalities had occurred between the dates of March 24, 2014, and Oct. 1, 2014, but still had not been delivered to families of the deceased as of Dec. 4, 2014.

And while technically, Cannon claims he was not paying for sex, a case could be made that because he was on duty at the time of his trysts, he was being paid for sex.

All of which raises the obvious questions: Was he being protected from above and if so, who was protecting him?

Here is Lt. Col. Dupuy’s letter of Sept. 10, 2014, to Cannon (Click on image to enlarge):

IMAG1320IMAG1321IMAG1322IMAG1323

Read Full Post »

« Newer Posts